

;
;

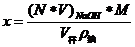
(控制F=0.5S,質量比為1:2時)


=
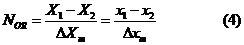
=0.003mol/L
=
=0.002792mol/L
=
=0.033mol/L
=
=0.0153mol/L
=
=0.013mol/L
品牌理念
標準流程
有效溝通
專業(yè)管理
優(yōu)秀團隊
品質保證
無憂售后
生產基地:上海松江葉榭工業(yè)園
業(yè)務電話:021-56311657 , 56411696 , 業(yè)務傳真:021-56411696 公司郵箱:shanghaimaoyu@126.com 教學設備廠 滬公網安備 31010702001294 號 滬ICP備13020377號-1 |